Molded Glass Aspheric Lenses: Finite Conjugate, Uncoated

- High NA (0.10 to 0.65)
- Diffraction-Limited Design
- Focus Light with a Single Element
- Finite Magnification for Focusing From a Point Source
C200TMD
(Not to Scale)
Application Idea
Mounted Aspheric Lens in a Fiber Launch System
354450
355465
355915

Please Wait
| Table 1.1 Molded Glass Aspheric Lenses |
|---|
| Infinite Conjugate |
| Uncoated |
| 350 - 700 nm (-A Coating) |
| 600 - 1050 nm (-B Coating) |
| 1050 - 1700 nm (-C Coating) |
| 1.8 - 3 µm (-D Coating) |
| 3 - 5 µm (-E Coating) |
| 8 - 12 µm (-F Coating) |
| 405 nm V-Coating |
| 1064 nm V-Coating |
| Finite Conjugate |
| Uncoated |
| Webpage Features | |
|---|---|
| Click for complete specifications. | |
| Performance Hyperlink | Click to view item-specific focal length shift data and spot diagrams at various wavelengths. |
| Click on the red Document icon next to the item numbers below to access the Zemax file download. Our entire Zemax Catalog is also available. |
Features
- Molded Glass Aspheric Lenses Designed for Finite Magnification
- Focus Light Without Introducing Spherical Aberration
- Available Unmounted or Pre-Mounted in Non-magnetic 303 Stainless Steel Lens Cells
Engraved with the Item #
Aspheric lenses are designed to focus light without introducing spherical aberration into the transmitted wavefront. For monochromatic sources, spherical aberration is often what prevents a single spherical lens from achieving diffraction-limited performance when focusing light. Thus, an aspheric lens is often the best single element solution for many applications including coupling light into a fiber, spatial filtering, or imaging light onto a detector.
This page features our selection of uncoated, finite conjugate molded glass aspheric lenses. Please note that Thorlabs also offers a large selection of infinite molded aspheric lenses either uncoated or with one of our AR coatings deposited on both sides (see links in Table 1.1).
Several of these molded glass lenses are available premounted in non-magnetic 303 stainless steel lens cells that are engraved with the mounted part number for easy identification. The mounted versions feature an external M6 x 0.5 metric thread, making it easy to integrate them into an optical setup or OEM application. Mounted aspheres are readily adapted to our SM1 series of lens tubes by using our Aspheric Lens Adapters. They can be used as a drop-in replacement for multi-element microscope objectives by combining the lens with our Microscope Objective Adapter Extension Tube.
Molded glass aspheres are manufactured from a variety of optical glasses to yield the indicated performance. The molding process will cause the properties of the glass (e.g., Abbe number) to deviate slightly from those given by glass manufacturers. Specific material properties for each lens can be found by clicking on the Info Icon (
) in Tables G1.1 and G2.1 and selecting the Glass tab.
Choosing a Lens
Aspheric lenses are commonly chosen to couple incident light into a single mode fiber. Examples 1 and 2 illustrate the key specifications to consider when trying to choose the correct lens.
Example 1: Coupling from a Laser Diode to SM Fiber
Fiber: 780HP, MFD = 5.0 µm at 850 nm
Laser Diode: L850P010
On the emission side, the L850P010 laser diode emits 850 nm laser light at a half-angle FWHM of 5° for the minor axis and 15° for the major axis. This FWHM can be converted to the Gaussian 1/e2 width by multiplying by a factor of 1.7, which can then be used to quantify the numerical aperture (NA),

where θ is the relevant Gaussian half-angle (here given in degrees) and n is the refractive index of the surrounding medium. When used in air (n = 1), this yields an NA of 0.15 and 0.43 for the minor and major axes respectively. To collect as much light as possible, the major axis with the higher numerical aperture of at least 0.43 should be considered when choosing a lens. To avoid edge effects and collect as much light as possible, an NA slighty higher than that calculated can provide better coupling efficiency.
On the collection side, 780HP single mode (SM) fiber has a mode field diameter (MFD) of 5.0 µm at a wavelength of 850 nm. The acceptance (or divergence) angle (θSM) of a single mode fiber in radians, when measured in the far field, is given by Equation 2:

For 780HP fiber, this yields an acceptance angle of 6.2° and an NA of 0.11, so a lens with an NA greater than 0.11 is needed on the collection side. Note that the NA given on an SM fiber spec sheet should not be used as the acceptance angle for SM fiber, since it does not take wavelength-dependent Gaussian beam propagation factors into account; more details can be found here.
Thorlabs offers a selection of mounted and unmounted aspheric lenses to choose from to meet these NA requirements. One good option would be Item # 355915, which has an NA for the emission side of 0.50 and an NA for the collection side of 0.12.
Example 2: Coupling from a High NA SM Fiber to a More Standard SM Fiber
High NA Fiber: UHNA3, MFD = 4.1 µm at 1550 nm
Standard SM Fiber: SMF-28e+, MFD = 10.4 µm at 1550 nm
To efficiently couple light into the core of a single mode (SM) fiber, the waist of the incident beam should be located at the fiber's end face and the waist diameter should equal the fiber's mode field diameter (MFD); more details can be found here. That means that the magnification of the lens needed to efficiently couple from one fiber to another is given by

where the beam waist (w) corresponds to the MFD of each fiber. In this example, this yields a desired magnification of 2.53. Of the available options, Item # 355201 with a magnification of 2.8 is well suited for this coupling.
Click to Enlarge
Figure 3.1 Reference Drawing
Aspheric Lens Design Formula
| Definitions of Variables | |
|---|---|
| z | Sag (Surface Profile) as a Function of Y |
| Y | Radial Distance from Optical Axis |
| R | Radius of Curvature |
| k | Conic Constant |
| An | nth Order Aspheric Coefficient |
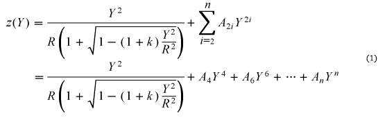
The aspheric surfaces of these lenses may be described using a polynomial expansion in Y, the radial distance from the optical axis. The surface profile or sagitta (often abbreviated as sag) is denoted by z, and is given by the following expression:

where R is the radius of curvature, k is the conic constant, and the An are the nth order aspheric coefficients. The sign of R is determined by whether the center of curvature for the lens surface is located to the right or left of the lens' vertex; a positive R indicates that the center of curvature is located to the right of the vertex, while a negative R indicates that the center of curvature is located to the left of the vertex. For example, the radius of curvature for the left surface of a biconvex lens would be specified as positive, while the radius of curvature for its right surface would be specified as negative.
Aspheric Lens Coefficients
Due to the rotational symmetry of the lens surface, only even powers of Y are contained in the polynomial expansion in Equation 1. The target values of the aspheric coefficients for each product can be found by clicking either on the blue Info Icons in Tables G1.1 and G2.1 (
) or on the red documents icon (
) next to each lens sold below.
| Posted Comments: | |
| No Comments Posted |
| Table 112A AR Coating Abbreviations | |
|---|---|
| Abbreviation | Description |
| U | Uncoated: Optics Do Not have an AR Coating |
| A | Broadband AR Coating for the 350 - 700 nm Range |
| B | Broadband AR Coating for the 600 - 1050 nm or 650 - 1050 nm Range |
| C | Broadband AR Coating for the 1050 - 1620 nm or 1050 - 1700 nm Range |
| V | Narrowband AR Coating Designed for the Wavelength Listed in Tables 112B and 112C |
Tables 112B and 112C contain all molded glass visible and near-IR aspheric lenses offered by Thorlabs. For our selection of IR molded glass aspheres, click here. The Item # listed is that of the unmounted, uncoated lens. An "X" in any of the five AR Coating Columns indicates the lens is available with that coating (note that the V coating availability is indicated with the AR coating wavelength). Table 112A defines each letter and lists the specified AR coating range. Clicking on the X takes you to the landing page where that lens (mounted or unmounted) can be purchased.
| Table 112B Finite Conjugate Aspheric Lenses | |||||||||||
|---|---|---|---|---|---|---|---|---|---|---|---|
| Base Item # | AR Coating Options | Effective Focal Length |
NA | Outer Diameter of Unmounted Lens |
Working Distance | Clear Aperture of Unmounted Lens |
|||||
| U | A | B | C | V | Unmounted | Mounted | |||||
| 355104 | X | 0.3 mm | 0.65 | 1.600 mm | S1: 0.1 mma S2: 1.0 mma |
- | S1: Ø0.29 mm S2: Ø0.48 mm |
||||
| 355465 | X | 0.5 mm | S1: 0.50 S2: 0.10 |
1.845 mm | S1: 0.3 mma S2: 2.9 mma |
- | S1: Ø0.40 mm S2: Ø0.70 mm |
||||
| 355585 | X | 0.6 mm | S1: 0.50 S2: 0.10 |
2.345 mm | S1: 0.3 mma S2: 3.0 mma |
- | S1: Ø0.35 mm S2: Ø0.66 mm |
||||
| 355587 | X | 0.6 mm | S1: 0.50 S2: 0.11 |
1.800 mm | S1: 0.3 mma S2: 2.9 mma |
- | S1: Ø0.35 mm S2: Ø0.68 mm |
||||
| 355915 | X | 0.8 mm | S1: 0.50 S2: 0.12 |
1.300 mm | S1: 0.7 mma S2: 3.9 mma |
S1: 0.6 mma,b S2: 0.8 mma,b |
S1: Ø0.77 mm S2: Ø1.00 mm |
||||
| 355200 | X | 1.1 mm | S1: 0.43 S2: 0.12 |
2.400 mm | S1: 0.5 mmc S2: 4.8 mma |
S1: 0.4 mmb,c S2: 2.4 mma,b |
S1: Ø1.24 mm S2: Ø1.24 mm |
||||
| 355201 | X | 1.1 mm | S1: 0.12 S2: 0.43 |
4.929 mm | S1: 0.5 mmc S2: 4.8 mma |
S1: 0.2 mmb,c S2: 2.6 mma,b |
S1: Ø1.24 mm S2: Ø1.24 mm |
||||
| 354450 | X | 1.2 mm | S1: 0.30 S2: 0.30 |
1.800 mm | S1: 1.7 mma S2: 1.7 mma |
- | S1: Ø1.14 mm S2: Ø1.14 mm |
||||
| 355755 | X | 1.9 mm | S1: 0.15 S2: 0.15 |
1.700 mm | S1: 3.6 mma S2: 3.6 mma |
S1: 3.5 mma,b S2: 0.9 mma,b |
S1: Ø1.10 mm S2: Ø1.10 mm |
||||
| Table 112C Infinite Conjugate Aspheric Lenses | |||||||||||
|---|---|---|---|---|---|---|---|---|---|---|---|
| Base Item # | AR Coating Options | Effective Focal Length |
NA | Outer Diameter of Unmounted Lens |
Working Distance | Clear Aperture of Unmounted Lens |
|||||
| U | A | B | C | V | Unmounted | Mounted | |||||
| 354710 | X | X | X | X | 1.5 mm | 0.53 | 2.650 mm | 0.5 mma | 0.4 mma,b | S1: Ø1.15 mm S2: Ø1.50 mm |
|
| 354140 | X | X | X | X | 1.5 mm | 0.58 | 2.400 mm | 0.8 mmc | 0.8 mmc | S1: Ø1.14 mm S2: Ø1.60 mm |
|
| 355151 | X | X | X | X | 2.0 mm | 0.50 | 3.000 mm | 0.5 mma | 0.3 mma,b | S1: Ø1.09 mm S2: Ø2.00 mm |
|
| 355440 | X | X | X | X | 2.8 mm | S1: 0.26 S2: 0.52 |
4.700 mm | S1: 2.0 mma S2: 7.1 mmc |
S1: 1.8 mma,b S2: 7.09 mmc |
S1: Ø3.76 mm S2: Ø4.12 mm |
|
| 355392 | X | X | X | X | 2.8 mm | 0.60 | 4.000 mm | 1.5 mmc | 1.0 mmb,c | S1: Ø2.50 mm S2: Ø3.60 mm |
|
| 355390 | X | X | X | X | 2.8 mm | 0.55 | 4.500 mm | 2.2 mmc | 2.0 mmb,c | S1: Ø3.60 mm S2: Ø3.60 mm |
|
| 355660 | X | X | X | X | 3.0 mm | 0.52 | 4.000 mm | 1.6 mmc | 1.3 mmb,c | S1: Ø2.35 mm S2: Ø3.60 mm |
|
| 354330 | X | X | X | X | 3.1 mm | 0.70 | 6.325 mm | 1.8 mmc | 1.8 mmb,c | S1: Ø3.84 mm S2: Ø5.00 mm |
|
| N414 | X | X | X | 3.30 mm | 0.47 | 4.50 mm | 1.94 mmc | 1.83 mmb,c | Ø3.52 mm | ||
| 354340 | X | X | X | 4.0 mm | 0.64 | 6.325 mm | 1.48 mma | 1.2 mma,b | S1: Ø3.77 mm S2: Ø5.10 mm |
||
| 357610 | X | X | X | 4.0 mm | 0.62 | 6.325 mm | 1.5 mma | 1.1 mma,b | S1: Ø3.39 mm S2: Ø4.80 mm |
||
| 357775 | X | X | X | 405 | 4.0 mm | 0.60 | 6.325 mm | 1.9 mma | 1.5 mma,b | S1: Ø3.45 mm S2: Ø4.80 mm |
|
| 354350 | X | X | X | 4.5 mm | 0.40 | 4.700 mm | 2.2 mmc | 1.6 mmb,c | S1: Ø2.05 mm S2: Ø3.70 mm |
||
| 355230 | X | X | X | X | 1064 | 4.5 mm | 0.55 | 6.325 mm | 2.8 mma | 2.4 mma,b | S1: Ø3.93 mm S2: Ø5.07 mm |
| A230 | X | X | X | X | 4.51 mm | 0.55 | 6.34 mm | 2.91 mmc | 2.53 mmb,c | Ø4.95 mm | |
| 354453 | X | X | X | X | 4.6 mm | 0.50 | 6.000 mm | 2.0 mma | 0.9 mma,b | S1: Ø3.38 mm S2: Ø4.80 mm |
|
| A390 | X | X | 4.60 mm | 0.53 | 6.00 mm | 2.70 mmc | 1.64 mmb,c | Ø4.89 mm | |||
| 354430 | X | X | X | 5.0 mm | 0.15 | 2.000 mm | 4.4 mmc | 4.0 mmb,c | S1: Ø1.40 mm S2: Ø1.60 mm |
||
| 354105 | X | X | X | X | 5.5 mm | 0.60 | 7.200 mm | 3.1 mma | 2.0 mma,b | S1: Ø4.96 mm S2: Ø6.00 mm |
|
| 354171 | X | X | X | X | 6.2 mm | 0.30 | 4.700 mm | 3.4 mma | 2.8 mma,b | S1: Ø2.72 mm S2: Ø3.70 mm |
|
| 355110 | X | X | X | X | 1064 | 6.2 mm | 0.40 | 7.200 mm | 2.7 mma | 1.6 mma,b | S1: Ø2.93 mm S2: Ø5.00 mm |
| A110 | X | X | X | X | 6.24 mm | 0.40 | 7.20 mm | 3.39 mmc | 2.39 mmb,c | Ø5.00 mm | |
| A375 | X | X | X | 7.50 mm | 0.30 | 6.51 mm | 5.90 mmc | 5.59 mmb,c | Ø4.50 mm | ||
| 354240 | X | X | X | X | 1064 | 8.0 mm | 0.50 | 9.950 mm | 4.9 mma | 3.8 mma,b | S1: Ø6.94 mm S2: Ø8.00 mm |
| A240 | X | X | X | X | 8.00 mm | 0.50 | 9.94 mm | 5.92 mmc | 4.79 mmb,c | Ø8.00 mm | |
| 354060 | X | X | X | X | 9.6 mm | 0.27 | 6.325 mm | 7.5 mma | 7.1 mma,b | S1: Ø5.13 mm S2: Ø5.20 mm |
|
| 354061 | X | X | X | X | 11.0 mm | 0.24 | 6.325 mm | 8.9 mma | 8.5 mma,b | S1: Ø4.63 mm S2: Ø5.20 mm |
|
| A220 | X | X | X | 11.00 mm | 0.26 | 7.20 mm | 7.97 mmc | 6.91 mmb,c | Ø5.50 mm | ||
| 354220 | X | X | X | X | 1064 | 11.0 mm | 0.25 | 7.200 mm | 6.9 mma | 5.8 mma,b | S1: Ø4.07 mm S2: Ø5.50 mm |
| 355397 | X | X | X | X | 11.0 mm | 0.30 | 7.200 mm | 9.3 mma | 8.2 mma,b | S1: Ø6.24 mm S2: Ø6.68 mm |
|
| A397 | X | X | X | 11.00 mm | 0.30 | 7.20 mm | 9.64 mmc | 8.44 mmb,c | Ø6.59 mm | ||
| 354560 | X | X | X | X | 13.86 mm | 0.18 | 6.325 mm | 12.1 mmc | 11.7 mmb,c | S1: Ø4.54 mm S2: Ø5.10 mm |
|
| A260 | X | X | X | 15.29 mm | 0.16 | 6.50 mm | 14.09 mmc | 13.84 mmb,c | Ø5.00 mm | ||
| 354260 | X | X | X | X | 15.3 mm | 0.16 | 6.500 mm | 12.7 mma | 12.4 mma,b | S1: Ø4.61 mm S2: Ø5.00 mm |
|
| A280 | X | X | X | 18.40 mm | 0.15 | 6.50 mm | 17.13 mmc | 16.88 mmb,c | Ø5.50 mm | ||
| 354280 | X | X | X | X | 1064 | 18.4 mm | 0.15 | 6.500 mm | 15.9 mma | 15.6 mma,b | S1: Ø5.15 mm S2: Ø5.50 mm |

| Table G1.1 Specifications | ||||||||||||||
|---|---|---|---|---|---|---|---|---|---|---|---|---|---|---|
| Item #a | Info | EFLb | NA | OD | WDc | CA | TC | DW | LWTd | Mc | Glass | Performance | Thread | Suggested Spanner Wrench |
| 355104 | 0.3 mm | 0.65 | 1.600 mm | S1: 0.1 mme S2: 1.0 mme |
S1: Ø0.29 mm S2: Ø0.48 mm |
0.500 mm | 1300 nm | - | 2.7 | D-ZLaF52LA | Focal Shift / Spot Size Cross Section |
- | - | |
| 355465 | 0.5 mm | S1: 0.50 S2: 0.10 |
1.845 mm | S1: 0.3 mme S2: 2.9 mme |
S1: Ø0.40 mm S2: Ø0.70 mm |
0.782 mm | 1310 nm | - | 2.8 | D-ZLaF52LA | Focal Shift / Spot Size Cross Section |
- | - | |
| 355585 | 0.6 mm | S1: 0.50 S2: 0.10 |
2.345 mm | S1: 0.3 mme S2: 3.0 mme |
S1: Ø0.35 mm S2: Ø0.66 mm |
0.508 mm | 1550 nm | - | 4.5 | D-ZLaF52LA | Focal Shift / Spot Size Cross Section |
- | - | |
| 355587 | 0.6 mm | S1: 0.50 S2: 0.11 |
1.800 mm | S1: 0.3 mme S2: 2.9 mme |
S1: Ø0.35 mm S2: Ø0.68 mm |
0.775 mm | 1550 nm | - | 4.6 | D-ZLaF52LA | Focal Shift / Spot Size Cross Section |
- | - | |
| 355915 | 0.8 mm | S1: 0.50 S2: 0.12 |
1.300 mm | S1: 0.7 mme S2: 3.9 mme |
S1: Ø0.77 mm S2: Ø1.00 mm |
0.600 mm | 1550 nm | - | 0.3 | D-ZLaF52LA | Focal Shift / Spot Size Cross Section |
- | - | |
| C915TMD | 6.2 mm | S1: 0.6 mme,f S2: 0.8 mme,f |
M6 x 0.5 | SPW306 | ||||||||||

| Table G2.1 Specifications | ||||||||||||||
|---|---|---|---|---|---|---|---|---|---|---|---|---|---|---|
| Item #a | Info | EFLb | NA | OD | WDc | CA | TC | DW | LWTd | Mc | Glass | Performance | Thread | Suggested Spanner Wrench |
| 355200 | 1.1 mm | S1: 0.43 S2: 0.12 |
2.400 mm | S1: 0.5 mme S2: 4.8 mmf |
S1: Ø1.24 mm S2: Ø1.24 mm |
1.239 mm | 1300 nm | 0.300 mm | 0.3 | D-ZLaF52LA | Focal Shift / Spot Size Cross Section |
- | - | |
| C200TMD | 6.2 mm | S1: 0.4 mme,g S2: 2.4 mmf,g |
M6 x 0.5 | SPW306 | ||||||||||
| 355201g | 1.1 mm | S1: 0.12 S2: 0.43 |
4.929 mm | S1: 0.5 mme S2: 4.8 mmf |
S1: Ø1.24 mm S2: Ø1.24 mm |
1.239 mm | 1300 nm | 0.305 mm | 0.3 | D-ZLaF52LA | Focal Shift / Spot Size Cross Section |
- | - | |
| C201TMD | 6.2 mm | S1: 0.2 mme,g S2: 2.6 mmf,g |
M6 x 0.5 | SPW306 | ||||||||||
| 354450 | 1.2 mm | S1: 0.30 S2: 0.30 |
1.800 mm | S1: 1.7 mmf S2: 1.7 mmf |
S1: Ø1.14 mm S2: Ø1.14 mm |
1.480 mm | 980 nm | - | 1.0 | D-ZK3 | Focal Shift / Spot Size Cross Section |
- | - | |
| 355755 | 1.9 mm | S1: 0.15 S2: 0.15 |
1.700 mm | S1: 3.6 mmf S2: 3.6 mmf |
S1: Ø1.10 mm S2: Ø1.10 mm |
1.000 mm | 1577 nm | - | 1.0 | D-ZLaF52LA | Focal Shift / Spot Size Cross Section |
- | - | |
| C755TMD | 6.2 mm | S1: 3.5 mmf,g S2: 0.9 mmf,g |
M6 x 0.5 | SPW306 | ||||||||||
Products Home








Glass Aspheres: Finite Conjugate, Uncoated